Articles in this Volume

Research Article Open Access
Analysing the Motivation and Effect of Cross-border Mergers and Acquisitions: A Case Study of the Acquisition of YOUJIUSHIDAI by SHANGHAI ACE CO., LTD.
Under the background of globalisation and information technology revolution, cross-border mergers and acquisitions (M&A) have become a key strategy for corporate strategic transformation and market expansion. Taking the acquisition of YOUJIUSHIDAI by SACE as an example, this study adopts the methods of literature review, case study analysis and AMPS model to explore in depth the motives, effects and impacts of cross-border M&A on corporate performance. This study finds that although M&A enhances shareholder wealth in the short term, long-term profitability falls short of expectations, which is mainly limited by the lack of R&D capability and market alignment problems. This study emphasises the importance of synergies and points out that high-premium M&As may lead to goodwill impairment risk, thus affecting the financial status of the firms and the interests of shareholders, and puts forward suggestions to optimise M&A strategies and strengthen regulation, in order to protect the interests of small and medium-sized investors and to promote the healthy development of the capital market.
Show more
Read Article PDF
Cite
Research Article Open Access
Analysis on the Fundamentals and Value Investment of Four Leading Beverage Enterprises
Article thumbnail
The article mainly studies the four leading enterprises in the beverage industry which are concerned about who has the highest investment value that provides a reference for investors to invest. In the field of business, providing investors with accurate and reasonable evaluation of the investment value of the specific industry is the main research direction of business researchers. The data in this paper come from Nasdaq official website, and refer to the forecast analysis data on estimize official website and the annual financial statement data of related enterprises. The article analyzes the fundamentals and valuation of enterprises, and uses comparative analysis method to compare and analyze the growth, profitability and stability. Based on analysis, the author believes that MNST is the best in terms of growth, profitability and stability, and as a market challenger, it has the characteristics of a growth stock. MNST has a good development prospect and is suitable for investment. MNST has some advantages and characteristics of rising stars, which can provide successful experience for some market challenger enterprises in the market and promote the healthy development of the beverage industry market.
Show more
Read Article PDF
Cite
Research Article Open Access
Analysis of the Reasons for Multiple Rounds of Inquiries of Newlife Company under the Registration System
The article will use Guangzhou Newlife New Material Co, Ltd., as the case study object after four rounds of inquiries. Through reading pertinent literature, compiling Guangzhou Newlife New Material Co, Ltd.,'s four rounds of inquiries letters and its reply information as well as the prospectus, and applying the AMPS model, the article will analyze the reasons for and the impacts of the enterprises' multiple rounds of inquiries. Under the Science and Innovation Board's registration system, some enterprises will be subject to multiple rounds of inquiries in their initial public offerings. The study's findings demonstrate that businesses must fully and completely disclose all relevant information and make sure that it is clear and simple in order to comply with the Science and Technology Board's (STB) audit process. Inquiry is helpful to alleviate information asymmetry and improve the pricing efficiency of initial public offering (IPO). Companies may improve their business plans and increase their competitiveness in the market by using many rounds of inquiry to gain a deeper understanding of their current state of affairs and prospective threats.
Show more
Read Article PDF
Cite
Research Article Open Access
Analysis on the Motivation and Performance of Enterprise ‘Snake Swallowing Elephant’ Mergers and Acquisitions: Taking Nanling Civil Explosion Acquisition of Explosive as an Example
Article thumbnail
As the invisible cornerstone of the national economy, the civil explosive industry has faced problems such as overcapacity and fierce competition while it continues to develop. Therefore, this paper studies the motivation of ‘snake swallowing elephant’ mergers and acquisitions (M&A) in the civil explosive industry and the impact of M&A on performance. Taking Nanling Civil Explosion's acquisition of Explosive as an example, this paper selects financial data of the past five years and adopts literature research method, case study method, event study method and AMPS model to analyze the motivation of M&A, market reaction after M&A and changes of financial indicators. The study found that the merger improved the market performance of the enterprise, enhanced the profitability, solvency, operating capacity and growth capacity, and promoted the technical and financial innovation of the civil explosive industry, which is of great significance to the development of the entire civil explosive industry. Reasonable merger and acquisition and resource integration will help the long-term development of the enterprise, and will bring more opportunities and challenges for the enterprise. This paper provides some reference value for the ‘snake swallowing elephant’ type M&A in this industry in theory and practice.
Show more
Read Article PDF
Cite
Research Article Open Access
A Comparative Analysis of Machine Learning Algorithms for Predicting the Telemarketing Campaigns of Portuguese Banking Institutions
Article thumbnail
A financial institution is an entity of business that handles deposits, money circulation, saving, and other corresponding operations. Banks supply a broad spectrum of services. This differs depending on the capacity of each bank. The bank is going to provide further amenities, which is one of the many industries that frequently engage in direct product launches. Thus, banks might employ technological innovations to do market investigation before directly releasing products, which may assist with decision-making. Marketing initiatives that offer prospective consumers the option of embracing or rejecting an offered product can be carried out using direct email, phone calls, and email campaigns. The volume of incoming data continues to expand as time goes by. One of the bank institutions in Portugal faced difficulties judging whether or not its customer base would choose to sign up for a term deposit because of the growing amount of data. Consequently, to ascertain if the consumer will subscribe to a term deposit, the data mining processes utilized here will incorporate Ensemble Learning (Gradient Boosting (GB), Xg Boost (XGB), Random Forest (RF), Linear Models (Logistic Forest (RF), Linear Models (Logistic Regression (LR), Non-Linear Models (K-Near Neighbors (KNN), Support Vector Machine (SVM), Decision Tree Classifier (DT)), and Probabilistic Models (Naive Bayes (NB))included in classification techniques. Among these, Xg Boost yields the most impressive results, with the best performance in terms of AUC, model accuracy, and cross-validation accuracy in a minimum amount of computation time.
Show more
Read Article PDF
Cite
Research Article Open Access
An Empirical Analysis of the Relationship Between Capital Regulation and Risk of Listed Commercial Banks
Capital regulation has caused a significant impact on the development of various business operations of listed commercial banks, while also decreasing their risk and enhancing their risk-bearing capacity. This paper uses data from 41 Chinese listed commercial banks from 2010 to 2019. To make the measured capital regulation more realistic, the author uses capital adequacy ratio and controls for 7 bank characteristic variables. The author uses fixed effect model and dynamic panel data model to empirically analyze the influence of the capital regulation on the risk of listed commercial banks. Heterogeneity study is performed by the author based on the size of commercial banks. The empirical study finds that: Firstly, the capital regulation significantly reduces the risks faced by listed commercial banks. Secondly, the influence of capital regulation on the risks of listed commercial banks shows a lag effect. Thirdly, different sized banks are affected differently by capital regulations. This study will help regulators set more effective capital requirements to ensure the stability of the entire financial system. Additionally, it will help commercial banks to establish a long-term and stable capital replenishment mechanism to ensure that capital levels continue to meet regulatory requirements and reduce risk levels.
Show more
Read Article PDF
Cite
Research Article Open Access
An Empirical Analysis of the Relationship Between Shopping Malls and Surrounding Property Prices: Evidence from Xi’an, China
Article thumbnail
Shopping malls have become integral components of urban areas in China, and their influence on the local economy and real estate markets is substantial due to the country's rapid urbanisation and economic expansion. This study examines the price premium of properties in Weiyang District, Xi'an, China that are affected by their proximity to malls. The study analyses a comprehensive dataset of 10,175 transaction prices for second-hand homes in 12 administrative zones of Weiyang District from September 2017 to June 2021 based on the hedonic price model and ordinary linear regression. The findings indicate that the value of properties in proximity to local shopping malls is notably enhanced; however, this positive effect fades as the distance from the malls increases. This study addresses a research gap in the influence of shopping centres on property prices in the Weiyang District. It offers valuable insights for local urban planners, property developers, and investors. These results have the potential to enhance the value of property and optimise urban development. The research methodology includes statistical methodologies to guarantee the accuracy of the findings and stresses the necessity of strategic urban planning to maximise the advantages of commercial amenities. To develop a more comprehensive understanding of the dynamics between commercial amenities and property values, future research might investigate the longitudinal impacts over a longer period and incorporate supplementary variables, such as socio-economic factors and real estate developments.
Show more
Read Article PDF
Cite
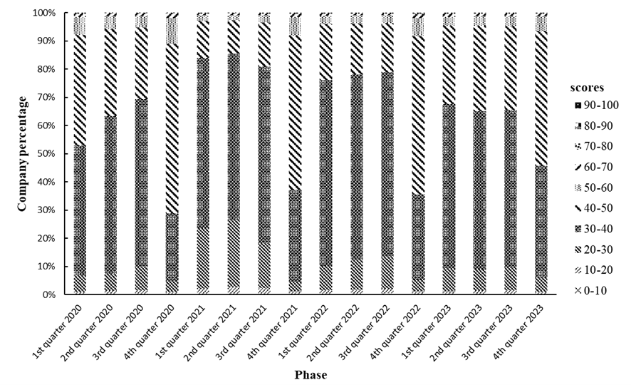
Research Article Open Access
Research on the Correlation Between Improved Corporate Composite Scores and Stock Prices in the Context of Carbon Neutrality
Article thumbnail
The stock market attracts many investors because of its high risk and high return characteristics. Therefore, it is of strong practical value to find a scientific and effective evaluation method for listed companies and explore its relationship with stock prices. This article combines the financial and non-financial data of listed companies from 2020 to 2023 to provide a composite score for companies based on the improved Wall Marking Way, and uses the Pearson correlation coefficient and regression analyses to investigate the correlation between the score on stock value. It is found that there is a significant positive correlation between comprehensive score and stock price, which proves the feasibility of the scoring method. On this basis, this article further explores the relationship further through regression analysis. The experimental results provide a scientific and reasonable index for evaluating the comprehensive ability of enterprises, and also provide an important reference basis for investors' investment decisions.
Show more
Read Article PDF
Cite
Research Article Open Access
The Comparison of Feature Selection Methods and Feature Combinations Based on the Stock Prediction
Article thumbnail
Predicting short-term stock prices is a significant and challenging research area due to market volatility. Machine learning (ML) uses algorithms to learn patterns from data, improving prediction accuracy over time. Feature selection (FS) methods enhance model accuracy and efficiency. Evaluating and selecting the best FS methods and feature combinations is essential for improving prediction performance. This paper evaluates three feature selection (FS) methods by scoring technical indicators and using three models with 30 different indicator combinations to predict outcomes. Error rates are used to measure accuracy. The analysis reveals that incorporating all features yields the lowest average error rate in this paper, and Williams R is attached to the greatest importance in this paper. Among the FS methods, Mutual Information (MI) and Random Forest (RF) outperform the correlation coefficient. Future work can focus on two main areas: considering more indicators and combinations, and exploring additional feature selection (FS) methods to identify the best one.
Show more
Read Article PDF
Cite
Research Article Open Access
Research on Relationship Between Governance Structure and Corporate Performance of Chinese Technology Companies
In the post-pandemic age of 2023, the economy is in recovery. Despite the distinctive qualities of technology firms, such as quick development and high levels of innovation, they face problems such as economic downturns and funding issues. As a result, the corporate governance structure is critical to guaranteeing the firms' long-term viability. The purpose of this article is to examine 252 publicly traded technology companies and investigate the link between corporate financial performance and corporate governance arrangements. This article used Ordinary Least Squares (OLS) analysis to look at the link between board independence, Chief Executive Officer (CEO) duality, ownership concentration, and return on equity (ROE). The regression findings indicate a negative association between ROE and the proportion of independent directors. However, there is no substantial association between the duality of ROE and the CEO, and ROE has a U-shaped relationship with ownership concentration. The study's findings imply that corporate executives and regulators should adopt an effective monitoring mechanism to ensure the impartiality and reliability of independent directors' oversight. To ensure strong financial performance, organizations should maintain appropriate levels of independent director percentages and stock concentration.
Show more
Read Article PDF
Cite